2021年三季度包头市新签续签集体合同、工资专项集体合同公示
2021年三季度包头市
新签续签集体合同、工资专项集体合同公示
为贯彻落实集体协商工作的各项要求,深入推进集体协商工作做实做好,按有关文件规章要求,现将2021年三季度包头市新签续签集体合同、工资专项集体合同名单(已在人社部门完成合法性审查备案)公示如下,请社会各界进行监督。如有监督意见,请向包头市总工会反映。
公示时间:
2021年 10月12日-10月16日
联系人:高鸣
联系电话:6190989
电子邮箱:btszghqybzb@163.com
地址:包头市团结大街37号包头市总工会
2021年三季度集体合同


(点击可查看大图)
2021年三季度工资专项集体合同


(点击可查看大图)
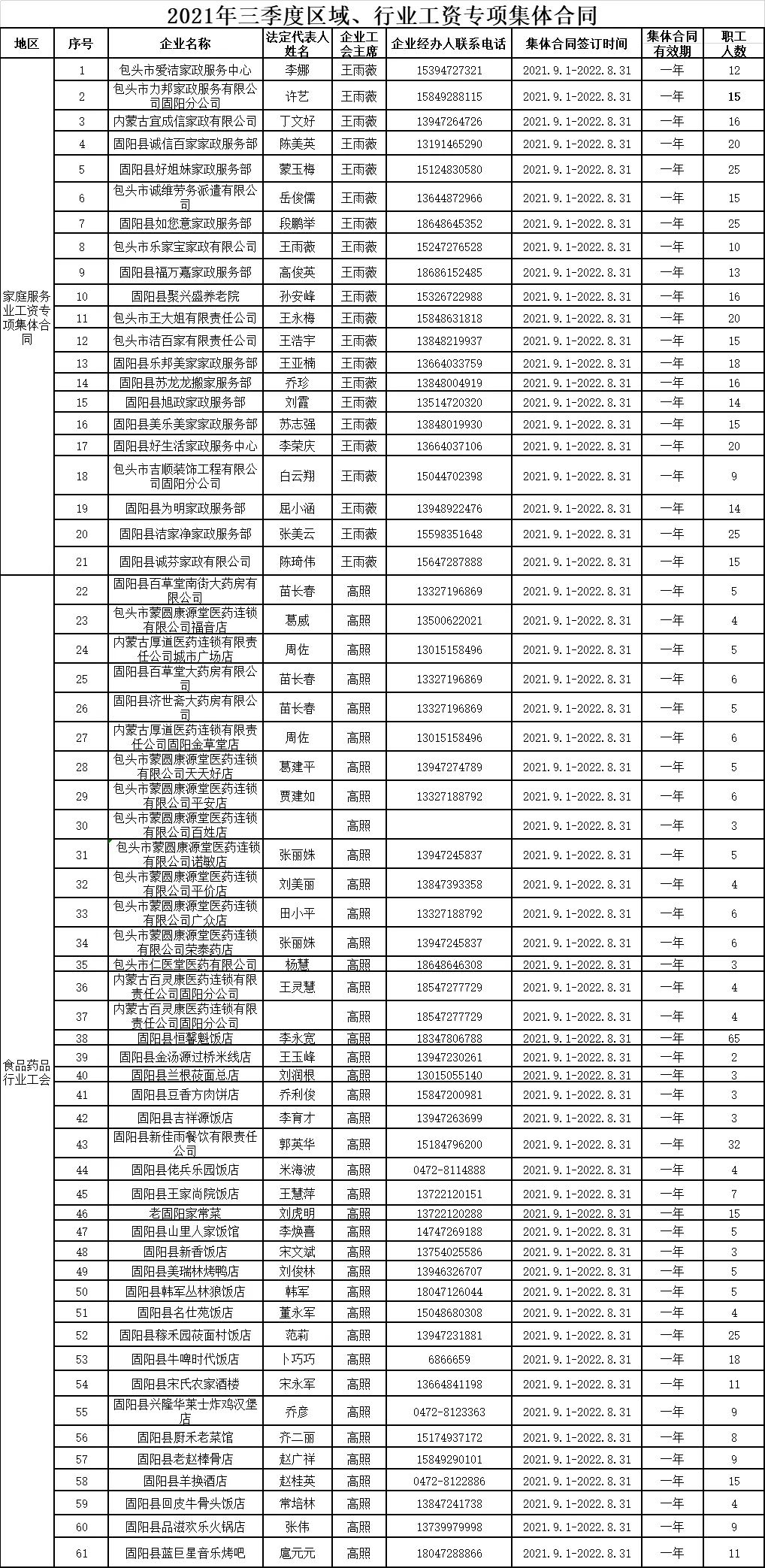
2021年三季度
区域、行业工资专项集体合同

(点击可查看大图)
来源:包头市总工会权益保障部
编辑:高娜
